A Level Maths Notes
Notes, exam paper solutions and study tips for studying A Level Mathematics.
Pages
AS Core
A2 Core
Mechanics
Statistics
Decision
Exam Paper Solutions
Studying
Resources
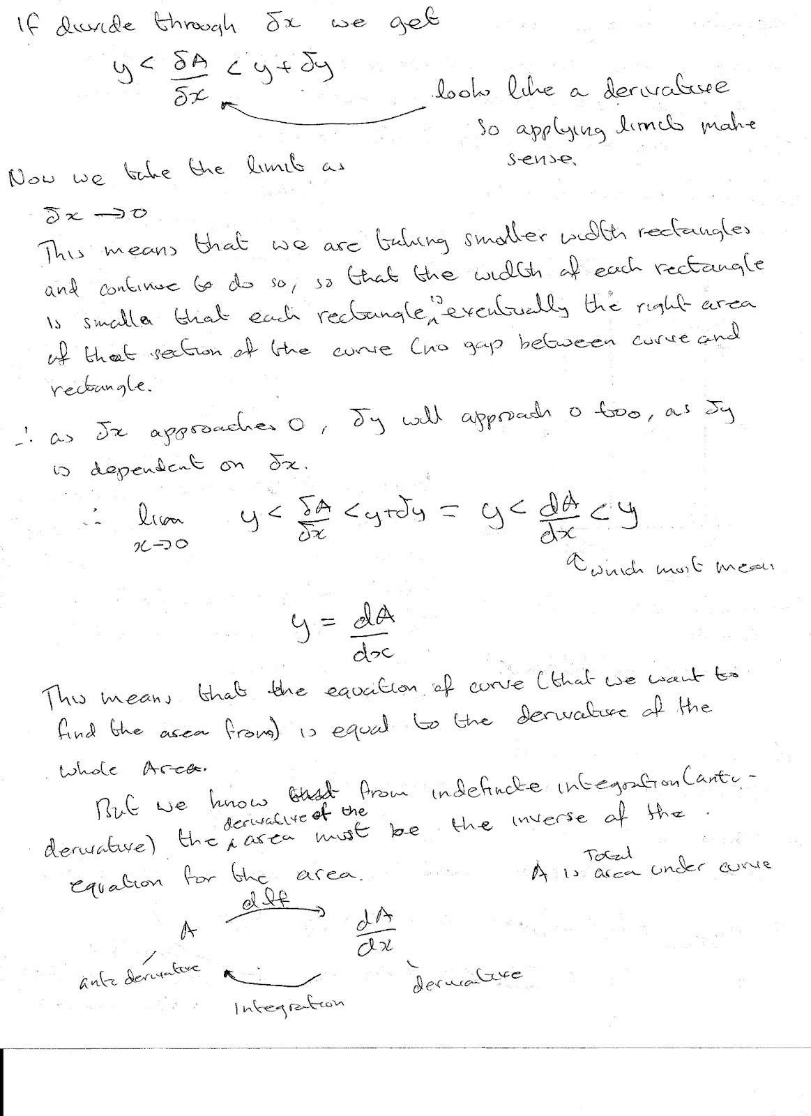
Integration - Definite - Part 1
No comments:
Post a Comment
Newer Post
Older Post
Home
Subscribe to:
Post Comments (Atom)
No comments:
Post a Comment